Die Dynamik einer On-Off-Beziehung, also einer Partnerschaft in der sich Paare immer wieder trennen, um kurz darauf doch wieder zusammenzukommen, eignet sich gut um eine ganze Klasse von Differenzialgleichungen zu beschreiben. Unser klassisches Liebespaar soll Romeo und Julia heißen, und eine On-Off-Beziehung führen. Die beiden sind unten auf einem Gemälde von Ford Madox aus dem Jahr 1870 dargestellt.
Die Problematik ihrer Beziehungen lasst sich wie folgt beschreiben. Wenn Romeo sich kühl zeigt, liebt Julia ihn umso mehr. Wenn wir die Liebe Julias für Romeo mit x kennzeichnen, und die Liebe Romeos mit y, können wir das wie folgt ausdrücken.
Romeo hingegen verhält sich anders. Seine Liebe wächst, wenn Julia ihn mag. Es gilt:
Etwas kompakter kann man das in Matrixschreibweise folgendermaßen ausdrücken:
Dabei kommt der Matrix mit den Nullen und Einsen eine besondere Bedeutung zu. Allgemein extrahiert ein rechtseitig auf eine Matrix angewandter Einheitsvektor in x-Richtung die erste Spalte einer Matrix.
Anders ausgedrückt, verändert also die erste Spalte einer Matrix den Einheitsvektor in x-Richtung. Die Matrix mit den Nullen und Einsen führt also eine Rotation um 90° entgegen dem Urzeigersinn aus, wie man sich anhand der Wirkung auf die Einheitsvektoren deutlich machen kann.
Für den Fall unsere Liebesbeziehung bedeutet das, dass die Zustandsänderung der Liebesbeziehung (unten Rot dargestellt) stets senkrecht auf dem Zustandsvektor der Beziehung steht (unten Blau dargestellt).
Diese Einsicht ermöglicht uns bereits eine intuitive, geometrisch motivierte Lösung des Differenzialgleichungsproblems. Nur entlang einer Kreislinie ist die Richtungsänderung für alle Zeiten t senkrecht zur Ortslinie. Die Liebe von Romeo und Julia wird also ewig um ihren gemeinsamen Ursprung kreisen.
Der zeitabhängige Beziehungsvektor lässt sich in Matrixschreibweise also als
darstellen.
Die Zustandsebene von Romeo und Julias Liebe lässt sich jedoch nicht nur als zwei dimensionaler Vektorraum, sondern auch als komplexe Ebene auffassen. In der Sprache der komplexen Zahlen lautet die Differentialgleichung ihrer Liebe:
Wie man sich einfach vor Augen führen kann, führt die Multiplikation von i mit einer komplexen Zahl ebenfalls zu einer Rotation um 90°. Die komplexe Schreibweise ist also analog zur Schreibweise mit der Rotationsmatrix.
Differenzialgleichungen dieser Form finden sich in der Natur häufig. Die Grundgleichung der Quantenmechanik, die Schrödingergleichung, lautet z.B.
Auch hier findet für den einfachsten Fall eines skalaren, zeitunabhängigen Hamiltonoperators eine einfache Rotation im Zustandsraum um 90° statt. Die Lösung der Schrödingergleichung müssen also periodische Wellenfunktionen sein.
Neben der intuitiven, geometrischen Lösung der Differenzialgleichungen können wir die Gleichungen auch analytisch lösen.
Im eindimensionalen Fall gelingt dies recht einfach. Die Differenzialgleichung
wird für eine Konstante c allgemein durch die Eponentialfunktion exp(ct) gelöst, denn es gilt:
Doch worin besteht der Zusammenhang zwischen einer Exponentialfunktion und den Sinusfunktionen? Wir wollen für den bereits bekannten Fall von
einen Analogschluss wagen, und die allgemeine Lösung als
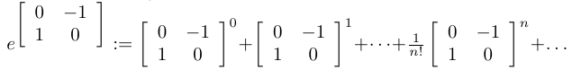
definieren. Dabei soll analog zur Taylorreihe der Exponentialfunktion
gelten:
Beim Ausmultiplizieren der Matrizen kommt uns die vierzählige Symmetrie der Rotationsmatrizen zu Gute. Der Ausdruck
lässt sich daher zu
vereinfachen. Die Reihen in den Elementen der Matrix sind die Taylorreihen der Sinus und Kosinus Funktionen. Es gilt also
Dies entspricht für alle t einer Drehung um t Radiant. Die intuitiv aus der Geometrie des Problems gefolgerte Lösung ist also korrekt.
Zum Abschluss noch ein technischer Hinweis. Die Formeln in diesem Artikel habe ich mit TeXworks erstellt und Screenshots der Formeln bei 150% Vergrößerung als Bilder eingefügt.
Viel Spaß beim selber rechnen...












Keine Kommentare:
Kommentar veröffentlichen